Inflammatory Marker Levels, Age, Race and Prior Treatment Burden Independently Predict Delayed Hematologic Recovery After BCMA-directed CART Therapy in Multiple Myeloma
Introduction: With the advent of two approved anti-BCMA products and several additional investigational cellular therapies, the use of BCMA-directed chimeric antigen receptor T-cell therapy (CART) is expanding for the treatment of multiple myeloma (MM). Prolonged cytopenias have been observed in a subset of CART recipients across products. The etiology and natural history of these cytopenias has not been thoroughly evaluated in the literature. We present a comprehensive multivariable model of hematologic recovery post-CART in an analysis of 140 MM CART recipients from a large academic center.
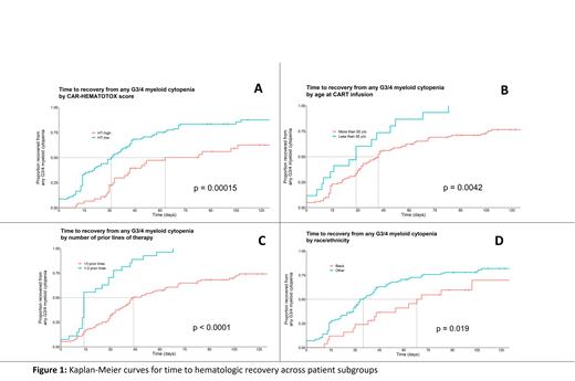
Methods: We retrospectively reviewed electronic health record data for relapsed/refractory MM patients from our institution who received a BCMA-directed CART product between 2017 & 2022. For each patient, all available lab values of hemoglobin (Hgb), platelet count (Plt) and absolute neutrophil count (ANC) were recorded and graded according to CTCAE v5.0 criteria. Missing lab values were linearly interpolated between available measurements. We defined time to recovery for each blood count as the number of days from CART infusion (day 0) until the first day of a 30-day-long period without any grade 3 or 4 (G3/4) values. Time to recovery from any G3/4 myeloid cytopenia (i.e., anemia, thrombocytopenia, and neutropenia) was also calculated. Next, we classified patients according to the CAR-HEMATOTOX scoring system (Rejeski et al, ASH 2022), a tool which incorporates baseline blood counts and inflammatory parameters such as C-reactive protein and ferritin prior to lymphodepletion to predict the risk of post-CART hematotoxicity. Kaplan-Meier curves were generated treating recovery from G3/4 cytopenia as the ‘event’ and censoring patients at the time of PD. A Cox proportional hazards model was used for multivariate analysis.
Results: A total of 140 MM patients who received a BCMA-directed CART product at ISMMS were included in the study. 107 patients (76%) received CART as part of a clinical trial and 33 (24%) commercially. Median age at CART infusion was 62 (range 35-83) and median number of prior lines of therapy was 5 (range 1-18). 102/140 patients (73%) were previously treated with high-dose melphalan and autologous stem cell transplantation, of which 23 had more than one prior transplant. Median CAR-HEMATOTOX score was 1 (range 0-6), with 45 patients (33%) classified as HT high (higher inflammatory marker levels prior to lymphodepletion) and 91 (67%) as HT low (lower inflammatory marker levels). Median time to recovery from G3/4 anemia, thrombocytopenia, neutropenia, and any myeloid cytopenia were as follows: 11.5 days, 10 days, 32 days and 40 days, respectively. After censoring 28 patients who had PD before day +120, 112/140 patients (80%) remained evaluable at that time point, of which 105 (94%) had achieved recovery from G3/4 anemia, 94 (84%) from G3/4 thrombocytopenia, 99 (88%) from G3/4 neutropenia, and 88 (79%) from any G3/4 myeloid cytopenia. Four variables were significantly associated with delayed recovery from any G3/4 myeloid cytopenia as compared to others: HT high score (median 63 vs 31 days, p<0.01, Fig. 1A), age at CART infusion ≥50 (42 vs 29 days, p<0.01, Fig. 1B), ≥3 prior lines of therapy (44 vs 14 days, p<0.01, Fig. 1C), and Black race (68 vs 35 days, p=0.02, Fig. 1D). In a multivariate Cox proportional hazards model, all four variables maintained their significance in predicting delayed hematologic recovery after CART.
Conclusion: Systemic inflammation and reduced bone marrow reserve due to aging and/or prior therapies were independently associated with delayed recovery from G3/4 myeloid cytopenias in a large, single-center cohort of MM patients treated with BCMA-directed CART therapy. Our study reinforces the predictive capability of CAR-HEMATOTOX in assessing the risk of delayed hematologic recovery after CART. However, we suggest that this tool could be further refined for MM by factoring in variables such as patient age, race, and number of prior lines of therapy.
Disclosures
Chari:Shattuck Labs: Other: Advisory Board; Genentech: Other: Advisory Board; AbbVie: Other: Advisory Board; Secura Bio: Consultancy, Other: Advisory Board; Glaxo Smith Kline: Other: Advisory Board; Antengene: Consultancy; Millenium/Takeda: Consultancy, Research Funding; Seattle Genetics: Other: Advisory Board, Research Funding; Sanofi: Other: Advisory Board; Karyopharm: Other: Advisory Board; Amgen: Consultancy, Other: Advisory Board, Research Funding; BMS: Consultancy, Other: Advisory Board, Research Funding; Janssen: Consultancy, Other: Advisory Board, Research Funding. Richter:Takeda: Consultancy, Membership on an entity's Board of Directors or advisory committees; Sanofi: Membership on an entity's Board of Directors or advisory committees; Pfizer: Consultancy; Karyopharm: Membership on an entity's Board of Directors or advisory committees; Janssen: Membership on an entity's Board of Directors or advisory committees, Speakers Bureau; Genentech: Consultancy; Celgene: Consultancy, Membership on an entity's Board of Directors or advisory committees, Speakers Bureau; Bristol-Meyers-Squibb: Membership on an entity's Board of Directors or advisory committees; Astra Zeneca: Membership on an entity's Board of Directors or advisory committees; Adaptive Biotechnologies: Membership on an entity's Board of Directors or advisory committees; Abbvie: Consultancy. Cho:Bristol Myers-Squibb: Research Funding; Takeda, Inc.: Research Funding. Sanchez:Janssen Pharmaceuticals: Consultancy, Honoraria. Rodriguez:Janssen, Takeda, Bristol Myers Squibb, Amgen, Karyopharm Therapeutics: Membership on an entity's Board of Directors or advisory committees. Rossi:Sanofi: Membership on an entity's Board of Directors or advisory committees; JNJ: Membership on an entity's Board of Directors or advisory committees; Adaptive: Membership on an entity's Board of Directors or advisory committees; BMS: Membership on an entity's Board of Directors or advisory committees. Jagannath:Janssen: Consultancy; Bristol Myers Squibb: Consultancy; Karyopharm: Consultancy; Legend Biotech: Consultancy; Sanofi: Consultancy, Membership on an entity's Board of Directors or advisory committees; Regeneron: Consultancy; Caribou: Consultancy. Richard:Heidelberg Pharma: Research Funding; C4 Therapeutics: Research Funding; Bristol Myers Squibb: Honoraria; Janssen: Honoraria. Parekh:Karyopharm Therapeutics: Research Funding; Caribou Biosciences: Research Funding; Celgene/BMS Corporation: Research Funding; Amgen: Research Funding; Grail, LLC: Membership on an entity's Board of Directors or advisory committees.
